Universidad del Zulia (LUZ)
Revista Venezolana de Gerencia (RVG)
Año 30 No. Especial 14, 2025, 934-952
Julio-Diciembre
ISSN 1315-9984 / e-ISSN 2477-9423
Como citar: Flórez, A. M., Bermúdez, C., y Loaiza, P. A. (2025). Rasgos de la canasta exportadora del Eje Cafetero y Valle del Cauca – Colombia (2021-2022). Revista Venezolana De Gerencia, 30(Especial 14), 934-952. https://doi.org/10.52080/rvgluz.30.especial14.5
Rasgos de la canasta exportadora del Eje Cafetero y Valle del Cauca – Colombia (2021-2022)*
Flórez Laiseca, Adriana María**
Bermúdez Agudelo, Cindey***
Loaiza Trejos, Paola Andrea****
Resumen
Se determina la concentración y diversificación de la canasta de exportación de los departamentos del Eje Cafetero (Caldas, Quindío y Risaralda) y del Valle del Cauca hacia los países miembros de la Comunidad Andina de Naciones durante el periodo 2010-2022. Se propone un análisis del índice de Herfindahl-Hirschman para evaluar la distribución y concentración de las exportaciones. Los resultados muestran diferencias significativas entre los departamentos en cuanto a diversificación, destacándose el Valle del Cauca por su mayor equilibrio en la canasta exportadora y el Quindío por su alta dependencia de pocos productos. En conclusión, este estudio aporta evidencias clave para el diseño de estrategias que potencien la competitividad regional.
Palabras clave: Canasta de exportación; comercio internacional; concentración; diversificación; eje cafetero-Colombia.
Recibido: 08.05.25 Aceptado: 29.07.25
* Las autoras agradecen el apoyo financiero y académico de la Universidad del Quindío en el desarrollo de esta investigación. Código Crossref de financiación: 100016837
** Economista, Magíster en Desarrollo Sostenible y Medio Ambiente. Universidad del Quindío, Programa de Economía, Grupo de Investigación Economía, Ambiente y Sociedad. Armenia, Colombia. Email: amflorez@uniquindio.edu.co ORCID: https://orcid.org/0000-0003-1439-1236
*** Economista, Magíster en Ciencias Sociales. Universidad del Quindío, Programa de Economía, Armenia, Colombia. Email: cbermudeza@uniquindio.edu.co ORCID: https://orcid.org/0000-0002-5026-3146
**** Economista, Magíster en Economía. Profesor Investigador Corporación Universitaria Minuto de Dios (UNIMINUTO). Email: paola.loaiza.tr@uniminuto.edu ORCID: https://orcid.org/0000-0002-2431-1642
Traits of the Export Basket of the Eje Cafetero and Valle del Cauca – Colombia (2021–2022)
Abstract
This analysis determines the concentration and diversification of the export basket of the departments of the Eje Cafetero (Caldas, Quindío, and Risaralda) and Valle del Cauca to the member countries of the Andean Community of Nations (CAN) during the 2010-2022 period. A, analysis using the Herfindahl-Hirschman Index (HHI) were conducted to evaluate the distribution and concentration of exports. The results reveal significant differences between the departments regarding diversification, with Valle del Cauca exhibiting greater balance in its export basket and Quindío showing high dependence on a few products. This study provides key evidence for designing strategies to enhance regional competitiveness.
Keywords: Export basket; international trade; concentration; diversification; coffee region-Colombia.
1. Introducción
La evolución de la canasta exportadora de Colombia constituye un eje central en el análisis del desarrollo económico regional, particularmente en territorios como el Eje Cafetero y el Valle del Cauca. Entre 2010 y 2022, estas regiones experimentaron transformaciones significativas en la concentración y diversificación de sus exportaciones hacia los países miembros de la Comunidad Andina de Naciones (CAN), fenómeno que refleja cambios estructurales en su inserción en los mercados internacionales. Históricamente dependientes de productos tradicionales como el café y la caña de azúcar, ambos territorios han iniciado un proceso de diversificación que impacta directamente su competitividad externa.
En este marco, el objetivo del estudio fue evaluar el nivel de concentración y diversificación de la canasta exportadora del Eje Cafetero y el Valle del Cauca, utilizando como herramienta analítica el índice de concentración Herfindahl-Hirschman (HH). Este indicador permite medir de manera precisa la evolución de la estructura exportadora, identificando tendencias hacia una mayor variedad de productos o la persistencia de patrones de especialización en sectores tradicionales. Asimismo, se analiza la relación entre estos cambios y los acuerdos comerciales con los países de la CAN, reconociendo su incidencia en la dinámica exportadora regional.
La pertinencia del análisis radica en que ofrece una comprensión profunda sobre la competitividad y sostenibilidad de las exportaciones regionales, aspectos fundamentales para el crecimiento económico del país. Considerando que el Eje Cafetero y el Valle del Cauca representan una proporción significativa del total exportado por Colombia, el estudio de sus patrones de exportación resulta clave para orientar estrategias de diversificación productiva y consolidación de nuevos mercados. Además, una estructura exportadora más diversificada fortalece la resiliencia económica regional, mitigando los riesgos asociados a la volatilidad de los precios internacionales de los productos tradicionales.
En este sentido, determinar la evolución de las exportaciones hacia los países de la CAN permite valorar el efecto de la integración regional sobre la distribución sectorial de las exportaciones, identificando oportunidades y amenazas para el desarrollo de una inserción más equilibrada en los mercados andinos. El análisis pretende, así, aportar insumos relevantes para la formulación de políticas públicas orientadas a potenciar la competitividad y la sostenibilidad del sector exportador colombiano.
El estudio se sustenta en una revisión exhaustiva de la literatura sobre comercio exterior, que proporciona el marco conceptual para abordar los fenómenos de concentración y diversificación exportadora. A partir de este sustento teórico, se desarrolla una metodología rigurosa orientada a garantizar resultados consistentes y representativos sobre la evolución reciente de las exportaciones en el Eje Cafetero y el Valle del Cauca.
Para la cual, se empleó un diseño explicativo y un método analítico con enfoque cuantitativo (Hernández & Sampieri, 2014), que permitió analizar las relaciones comerciales entre los productos exportados del Eje Cafetero y Valle del Cauca hacia los países de la CAN, con el propósito de identificar las causas y efectos de la concentración y diversificación de la canasta exportadora, a partir de la evidencia empírica.
De acuerdo con lo anterior, se construyó la base de datos de exportaciones entre 2010 y 2022, procesada en Python, lo que permitió observar tendencias, identificar sectores de mayor concentración y áreas de diversificación. Posteriormente, se calculó el índice de Herfindahl-Hirschman (HHI) para medir el nivel de concentración y dependencia de productos y destinos en ambas regiones.
Finalmente, se presentan los resultados del análisis para cada departamento, se discuten sus implicaciones y se exponen las conclusiones que permiten comprender los desafíos y oportunidades que enfrenta la región en el contexto de su inserción internacional.
2. Comercio internacional: marco teórico
El comercio internacional ha sido objeto de análisis de diversas teorías económicas que buscan explicar las causas y beneficios del intercambio entre naciones. La Teoría de la Ventaja Absoluta de Adam Smith sostiene que los países deben especializarse en bienes que producen de manera más eficiente que otros, mientras que David Ricardo, a través de su Teoría de la Ventaja Comparativa, plantea que incluso un país sin ventajas absolutas puede beneficiarse del comercio al especializarse en bienes donde su ventaja relativa sea mayor (Ricardo, 1817). Posteriormente, Mill introduce el concepto de los términos de intercambio, incorporando la demanda como un factor esencial al explicar que las ganancias del comercio dependen de las tasas de intercambio de bienes entre países, en función de las preferencias de los consumidores (Mill, 1848).
Durante el siglo XX, el modelo de Heckscher-Ohlin propuso que las naciones tienden a exportar bienes intensivos en los factores de producción que poseen en abundancia y a importar aquellos que requieren factores escasos (Heckscher & Ohlin, 1933). No obstante, la paradoja de Leontief evidenció limitaciones en esta teoría, al demostrar que factores como el avance tecnológico también inciden en los patrones comerciales. Más adelante, Krugman, mediante su teoría del comercio intraindustrial, explicó que en economías desarrolladas gran parte del comercio se da entre países similares que intercambian variedades diferenciadas de un mismo bien, impulsados por economías de escala y la diversidad de productos (Krugman, 1980), perspectiva esencial para entender la integración económica regional.
El libro “Dinámicas y Oportunidades del Comercio Internacional Andino” Gómez et al. (2023) destaca que las teorías tradicionales del comercio se complementan actualmente con enfoques que consideran la innovación tecnológica, las cadenas globales de valor y las políticas comerciales. De esta forma, las tecnologías emergentes redefinen los términos de intercambio y transforman las ventajas comparativas tradicionales, fomentando sectores económicos sostenibles.
En este sentido, Gómez et al. (2023) señala que los países andinos poseen un alto potencial para fortalecer sus economías mediante la optimización de sus recursos naturales y su inserción estratégica en los mercados internacionales a través de las cadenas de valor. Asimismo, la participación en acuerdos multilaterales y la capacidad de adaptación a tendencias globales emergen como factores determinantes para mejorar su competitividad.
De acuerdo con lo anterior, se identificó que el comercio internacional ha evolucionado aceleradamente, generando oportunidades de desarrollo y bienestar, toda vez que plantea importantes retos. Como advirtió Krugman et al. (2012), la creciente influencia de las empresas multinacionales en el comercio internacional ha concentrado las interacciones de mercado y ha impactado la balanza comercial de los países, afectando la competencia y la diversificación.
En este marco, la Comunidad Andina de Naciones (CAN) ha jugado un rol crucial en América Latina, promoviendo la cooperación y el crecimiento económico intrarregional, con el objetivo de reducir las brechas entre países, en línea con el planteamiento de Baldwin (2016) sobre la integración de economías emergentes mediante procesos de producción geográficamente distribuidos. La creación del Pacto Andino en 1969, inicialmente conformado por Bolivia, Colombia, Ecuador, Chile y Venezuela, representó un acuerdo para impulsar un desarrollo equilibrado mediante la conformación de un mercado común y la eliminación progresiva de barreras comerciales.
Actualmente, la CAN está integrada por Colombia, Ecuador, Perú y Bolivia. La evolución de sus dinámicas comerciales se refleja en la tabla 1, donde se evidencia que el 63,5% de las importaciones y el 71,5% de las exportaciones se concentran en los cinco principales destinos, mostrando una tendencia significativa hacia la concentración de flujos comerciales en mercados específicos.
Tabla 1
Principales mercados de exportación e importación de la CAN
|
Principales mercados de la CAN |
|||
|
Exportaciones |
2023 |
Importaciones |
2023 |
|
China |
30.285 |
Estados Unidos |
36.318 |
|
Estados Unidos |
29.899 |
China |
35.879 |
|
Unión Europea |
18.203 |
Unión Europea |
20.883 |
|
Panamá |
9.741 |
Brasil |
11.048 |
|
Comunidad Andina |
9.386 |
Comunidad Andina |
10.19 |
|
Otros |
55.937 |
Otros |
45.591 |
|
Total |
153.451 |
Total |
159.909 |
Nota: Datos tomados de la Secretaría General, Comunidad Andina (2024)
Durante el año 2023, Colombia exportó bienes agropecuarios, alimentos y bebidas, combustibles, y productos de industrias extractivas y manufactureras por un total de USD 49.542.894, de los cuales USD 3.274.911 se dirigieron a países de la Comunidad Andina de Naciones (CAN), con especial relevancia hacia Ecuador y Perú. En este contexto, y siguiendo el enfoque de Suwinto & Ivy (2022), quienes destacan que la concentración y diversificación de productos reflejan prácticas deseables de competencia, resulta pertinente analizar las dinámicas comerciales de estos sectores, particularmente en los departamentos del Eje Cafetero y el Valle del Cauca, en su relación con los países miembros de la CAN.
3. Estimación del índice de concentración / diversificación
En el comercio internacional, la diversificación exportadora se entiende como la capacidad de un país para ampliar la variedad de bienes y servicios ofrecidos al mercado global, con el fin de reducir la dependencia de productos específicos. Esta estrategia es fundamental para promover el desarrollo económico, fortalecer la estabilidad y mitigar los riesgos asociados a inversiones concentradas. No obstante, uno de los principales desafíos para los países en desarrollo es la concentración de exportaciones, que expone sus economías a la volatilidad de precios y dificulta un crecimiento sostenido.
En este marco, la Comunidad Andina (CAN), creada en 1969 mediante el Acuerdo de Panamá, ha impulsado la integración regional y la expansión del comercio intracomunitario, especialmente tras la eliminación de aranceles en 1993 (Servicio Nacional de Aduana del Ecuador, s.f.). En 2023, las exportaciones de Colombia hacia la CAN representaron el 6,61 % de su total, impulsadas por productos agropecuarios, alimentos, manufacturas, combustibles e industrias extractivas, evidenciando una creciente diversificación.
Para evaluar la concentración y diversificación de las exportaciones, se emplean indicadores como el índice de Herfindahl-Hirschman (HHI), ampliamente utilizado en estudios de economía industrial (Prada & García, 2016). Un valor cercano a cero refleja alta diversificación, mientras que valores próximos a uno indican alta concentración.
En este sentido, la aplicación de este índice permite comprender las dinámicas de comercio exterior de las diferentes regiones relacionadas, identificando diferentes interacciones comerciales para cada departamento, en conexión hacia los tres destinos de la Comunidad Andina.
En este estudio, se aplicó el HHI para analizar las exportaciones del Eje Cafetero y el Valle del Cauca hacia la CAN, precedido de un análisis estadístico descriptivo que permitió caracterizar la variabilidad y estructura de los datos. Los resultados evidenciaron que el Valle del Cauca presenta la mayor diversificación, seguido de Caldas y Risaralda con niveles moderados, mientras que el Quindío muestra la mayor concentración. La desviación estándar y los percentiles refuerzan estos hallazgos, destacando la consistencia en la diversificación del Valle y la volatilidad en el Quindío.
La tabla 2 presenta los datos de frecuencia del índice HHI, que muestran el comportamiento de la concentración de exportaciones hacia Ecuador. Estas tablas permiten visualizar la distribución de los índices HHI en diferentes intervalos, facilitando la comprensión de los niveles de concentración en cada departamento. Los resultados confirmaron los hallazgos previos: en el Valle del Cauca, la mayoría de los valores se concentran en intervalos que indican alta diversificación, lo que reafirma su equilibrio en la canasta exportadora.
Tabla 2
HHI Ecuador – Estadística descriptiva
|
Ecuador |
||||
|
|
Valle del Cauca |
Quindío |
Risaralda |
Caldas |
|
count |
26.045 |
598 |
2.433 |
4.689 |
|
mean |
0,006825 |
0,18195 |
0,104956 |
0,035621 |
|
sdt |
0,000714 |
0,133715 |
0,037946 |
0,014023 |
|
min |
0,005876 |
0,052475 |
0,053752 |
0,022854 |
|
25% |
0,006362 |
0,10332 |
0,083015 |
0,026843 |
|
50% |
0,00676 |
0,125204 |
0,106562 |
0,027602 |
|
75% |
0,007243 |
0,255242 |
0,118183 |
0,042996 |
|
max |
0,008573 |
0,59066 |
0,234001 |
0,074015 |
Nota: Datos tomados de Legicomex (2022)
En contraste, el Quindío muestra una mayor concentración en los intervalos más altos, lo que refleja su dependencia de un número reducido de productos, reflejando un portafolio de exportaciones sin incentivos a la diversificación, limitando de forma significativa la generación de ingresos, debido a la dependencia de algunos bienes producidos, particularmente agrícolas en el caso del Quindío, o de bajo valor agregado e industrialización, que en últimas resulta en una baja capacidad para adaptarse a modificaciones en la demanda externa.
De acuerdo con lo anterior, se evidencia que estos resultados representan diferencias estructurales entre los departamentos y la importancia de las diferentes políticas comerciales y estrategias de competitividad empresarial en la construcción del portafolio de exportación hacia los mercados internacionales.
Complementariamente, la aplicación del HHI también permite identificar patrones que reflejan el comportamiento comercial actual y proyectan posibles vulnerabilidades en el mediano y largo plazo. Por ejemplo, en economías que dependen de productos primarios, el impacto de las fluctuaciones en los precios internacionales tiende a ser más pronunciado, lo que evidencia la necesidad de políticas públicas dirigidas hacia la diversificación productiva (Vázquez & Morales, 2017). En el caso del Quindío, esto podría implicar una mayor inversión en tecnología agroindustrial y en la promoción de cadenas de valor que eleven la competitividad de sus productos en el mercado regional.
Asimismo, para departamentos como Risaralda, cuyos sectores exportadores tienden a estar menos diversificados, es crucial generar estrategias de apertura hacia nuevos mercados y la incorporación de tecnologías avanzadas que fortalezcan la capacidad productiva y reduzcan la dependencia en mercados tradicionales. Esto sería particularmente relevante dado el aumento de los requerimientos internacionales en términos de sostenibilidad y calidad, que podría limitar el acceso de productos menos diversificados y de bajo valor agregado.
En contraposición, departamentos como el Valle del Cauca y Caldas muestran que la diversificación no solo mejora la estabilidad de las exportaciones, sino que también incrementa su capacidad para integrarse en cadenas de valor globales. Esto demuestra cómo una estructura económica más equilibrada permite una mayor resiliencia frente a las variaciones en los mercados internacionales, así como mayores oportunidades de crecimiento sostenible. De este modo, estos casos pueden servir como modelos para los demás departamentos de la región, estableciendo un referente sobre las buenas prácticas en políticas comerciales y de desarrollo económico.
Continuando con el análisis estadístico, en la gráfico 1 se observa la estadística descriptiva de las exportaciones hacia Perú, el segundo destino con mayor dinámica exportadora en la CAN. Los resultados muestran tendencias similares a las observadas en Ecuador: el Valle del Cauca mantiene una alta diversificación, evidenciada por un índice HHI cercano a cero.
Gráfico 1
Distribución frecuencia HHI – Ecuador
Nota: Datos tomados de Legicomex (2022)
Caldas presenta una concentración moderada, mientras que el Quindío refleja una fuerte dependencia de pocos productos. Risaralda, por su parte, registra una concentración más alta respecto a su relación comercial con Ecuador. En cuanto a los percentiles, el Valle del Cauca confirma su equilibrio exportador, con el 25% de los valores por debajo de 0,013446. El Quindío y Risaralda exhiben una concentración elevada, mientras que Caldas mantiene una diversificación intermedia, mejor posicionada que Risaralda y el Quindío (tabla 3).
Tabla 3
HHI Perú – Estadística descriptiva
|
Perú |
||||
|
|
Valle del Cauca |
Quindío |
Risaralda |
Caldas |
|
count |
14.325 |
214 |
336 |
1.114 |
|
mean |
0,014644 |
0,243066 |
0,364163 |
0,108109 |
|
sdt |
0,002168 |
0,11529 |
0,208971 |
0,060924 |
|
min |
0,01033 |
0,111505 |
0,173439 |
0,032528 |
|
25% |
0,013446 |
0,177514 |
0,227286 |
0,066152 |
|
50% |
0,014424 |
0,195233 |
0,265671 |
0,7772 |
|
75% |
0,015611 |
0,267172 |
0,468183 |
0,153226 |
|
max |
0,018632 |
0,710589 |
0,906498 |
0,215617 |
Nota: Datos tomados de Legicomex (2022)
El análisis anterior se complementa con la gráfico 2, donde se reafirma lo expuesto previamente. El Valle del Cauca destaca por su alta diversificación, con la mayoría del valor del HHI agrupados en intervalos bajos. Caldas muestra una distribución intermedia, lo que confirma niveles moderados de concentración y una diversificación aceptable. Por otro lado, Quindío y Risaralda presentan valores más altos en los intervalos, reflejando su mayor dependencia de un número reducido de productos.
Gráfico 2
Distribución frecuencia HHI – Perú
Nota: Datos tomados de Legicomex (2022)
Como cierre del análisis, se presenta en la tabla 4 la estadística descriptiva de las exportaciones hacia Bolivia, el país de la CAN con menor dinámica comercial para los departamentos analizados. Los resultados evidencian una actividad exportadora significativamente reducida, con una baja cantidad de productos exportados, lo que limita la interacción comercial con este mercado. En términos de concentración, el Valle del Cauca conserva la mayor diversificación, aunque con mayor variabilidad en sus datos. Caldas mantiene una diversificación moderada, mientras que Risaralda y Quindío reflejan una alta concentración, con una fuerte dependencia de pocos productos, como se observa en los percentiles.
Tabla 4
HHI Bolivia – Estadística descriptiva
|
Bolivia |
||||
|
|
Valle del Cauca |
Quindío |
Risaralda |
Caldas |
|
count |
7.967 |
12 |
153 |
397 |
|
mean |
0,079852 |
0,551207 |
0,63499 |
0,210518 |
|
sdt |
0,169719 |
0,208832 |
0,218017 |
0,05206 |
|
min |
0,009331 |
0,330268 |
0,324782 |
0,135536 |
|
25% |
0,012667 |
0,330268 |
0,470583 |
0,164864 |
|
50% |
0,013401 |
0,561039 |
0,615889 |
0,202645 |
|
75% |
0,016266 |
0,768212 |
0,852656 |
0,258376 |
|
max |
0,653805 |
0,768212 |
0,979023 |
0,229123 |
Nota: Datos tomados de Legicomex (2022)
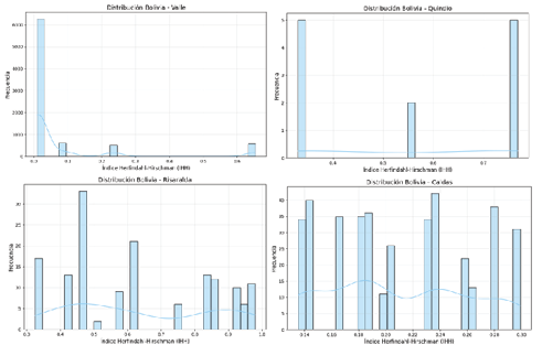
Para finalizar con el análisis estadístico, en la gráfico 3 se presentan las barras de frecuencia correspondientes a cada departamento en relación con las exportaciones hacia Bolivia. Estas gráficas permiten visualizar de manera más directa la concentración de las exportaciones y los intervalos de distribución del índice HHI, evidenciando tendencias claras en cada caso. El Valle del Cauca continúa destacándose con una canasta exportadora diversificada en comparación con los otros departamentos. Caldas reafirma su perfil de diversificación media, mientras que Risaralda y Quindío se agrupan en intervalos más altos, lo que indica una mayor concentración. Cabe resaltar que, en el caso del Quindío, este departamento realizó exportaciones únicamente en tres de los doce períodos estudiados, lo que resulta en una distribución inusual de los valores.
Gráfico 3
Distribución frecuencia HHI – Bolivia
Nota: Datos tomados de Legicomex (2022)
En síntesis, el análisis de la concentración y diversificación de las exportaciones de los departamentos del Eje Cafetero y del Valle del Cauca hacia los países de la CAN permitió identificar patrones relevantes en la composición de sus canastas exportadoras. A partir del índice HHI y de los análisis estadísticos complementarios, se confirma que el Valle del Cauca presenta la mayor diversificación, mientras que los demás departamentos muestran niveles variables de concentración. Estos resultados, respaldados por las tablas de frecuencia y las gráficas de distribución, evidencian tendencias consistentes entre los mercados analizados. Asimismo, se ratifica que Bolivia representa un destino de baja relevancia comercial para los departamentos estudiados, dada la limitada dinámica exportadora hacia este país. En conjunto, el análisis ofrece una visión integral de la estructura exportadora regional y su vínculo con la dinámica económica de la Comunidad Andina.
4. Análisis del comportamiento del índice de exportación
Como complemento al objetivo principal de esta investigación, el análisis de la concentración y diversificación de la canasta exportadora de los departamentos del Eje Cafetero y del Valle del Cauca hacia la Comunidad Andina de Naciones (CAN) durante el periodo 2010-2022 adquiere mayor relevancia mediante la utilización del índice Herfindahl-Hirschman (HHI) como herramienta de medición del grado de interacción y flujo comercial entre los miembros del acuerdo. La importancia de este indicador radica en su capacidad para capturar la distribución de las exportaciones de un país o región hacia distintos mercados, permitiendo evaluar los niveles de dependencia o diversificación de los productos exportados por los departamentos seleccionados (García et al., 2025; Masunda, 2020).
La elección del HHI como metodología de análisis resulta pertinente, dado su carácter sencillo y su solidez estadística, que facilita la cuantificación e interpretación económica de la dinámica exportadora, además de permitir comparaciones entre regiones en un mismo periodo (Herzer & Nowak-Lehnmann, 2006; Markakkaran & Sridharan, 2022). Bajo este enfoque, se consideran las particularidades de los mercados analizados, caracterizados por estructuras productivas heterogéneas y una alta interdependencia en sectores estratégicos.
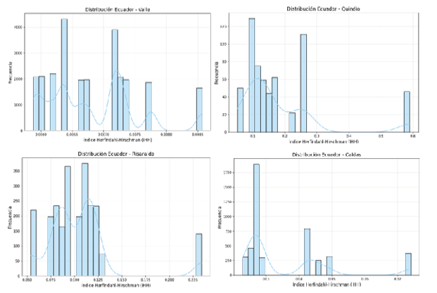
Así, se da paso al análisis respectivo, complementado con representaciones (gráfico 4) que facilitan la comprensión del comportamiento de la concentración y diversificación de los mercados locales estudiados.
Gráfico 4
HHI - Ecuador (2010 - 2022)
Nota: Datos tomados de Legicomex (2022)
De manera ilustrativa, el índice HHI evidencia diferencias significativas en los niveles de concentración exportadora de los departamentos analizados hacia Ecuador. A primera vista, se observa que en el Eje Cafetero el Quindío presenta un pico destacado en 2022, indicando una alta concentración de productos exportados durante ese año, junto con comportamientos volátiles en periodos anteriores. Esta concentración se relaciona con el repunte en las exportaciones de productos agrícolas, en respuesta a la recuperación de precios internacionales y la creciente demanda de café especial en el mercado asiático, particularmente tras la reactivación postpandemia y la reconfiguración de cadenas logísticas regionales (PROCOLOMBIA, 2023; Organización de las Naciones Unidas para la Alimentación y la Agricultura [FAO], 2022).
En contraste, departamentos como el Valle del Cauca y Caldas muestran índices equilibrados a lo largo del tiempo. Risaralda, por su parte, presenta una concentración fluctuante desde 2011, alcanzando un comportamiento más controlado a partir de 2019, reflejando una canasta exportadora relativamente estable.
En detalle, el análisis de la gráfica revela que el Valle del Cauca ha mantenido una tendencia general de estabilidad en su índice, con variaciones ligeras, pero no pronunciadas, oscilando entre 0.006 y 0.009, lo que lo consolida como el departamento de mayor diversificación exportadora. Este comportamiento refleja un tejido industrial más robusto, apoyado en sectores como alimentos procesados, textiles y productos químicos, así como una mayor eficiencia logística gracias a su cercanía con el puerto de Buenaventura y al desarrollo de plataformas logísticas regionales (Departamento Administrativo Nacional de Estadística [DANE], 2023; Cámara de Comercio de Cali, 2023). Adicionalmente, factores como la consolidación de clústeres empresariales, la inversión en infraestructura productiva y la articulación público-privada han fortalecido su capacidad exportadora en diferentes sectores (Comisión Económica para América Latina y el Caribe [CEPAL], 2022).
De manera similar, Caldas presenta valores bajos, fluctuando entre 0.027 y 0.049, lo que indica una canasta diversificada sustentada principalmente en la exportación de artículos manufacturados, electrodomésticos y dispositivos eléctricos. Estos sectores que han incrementado su presencia en el comercio internacional, debido al fortalecimiento de encadenamientos productivos con Medellín y el Valle del Cauca, así como al impulso de políticas de innovación tecnológica en el sector industrial (Asociación Nacional de Empresarios de Colombia [ANDI], 2021).
Risaralda, en cambio, evidencia fluctuaciones marcadas, alcanzando un HHI de 0.234 en 2015, lo que refleja una alta concentración en ciertos productos; no obstante, a partir de 2018 muestra una tendencia a la baja, alcanzando un valor de 0.054. Esta mejora está asociada a la conexión comercial con mercados no tradicionales y a la apertura de nuevos nichos de mercado con mayor valor agregado, como cosméticos naturales, textiles sostenibles y café de origen con certificaciones internacionales, lo que ha permitido diversificar su base exportadora (PROCOLOMBIA, 2022; Ministerio de Comercio Industria y Turismo, 2023). Finalmente, el Quindío evidencia una concentración significativa en su estructura exportadora, intensificada por la baja resiliencia económica ante las caídas en la demanda de países latinoamericanos afectados por riesgos políticos y económicos, en un contexto de baja industrialización y vulnerabilidades en las cadenas de valor de un mercado predominantemente agrícola (Banco Mundial, 2024).
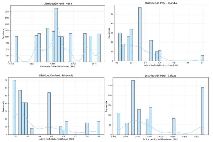
Ampliando el análisis, otra conexión comercial relevante dentro de la Comunidad Andina es Perú, país que representa el segundo destino más importante para las exportaciones de los departamentos estudiados. Al igual que Ecuador, su relevancia puede atribuirse a su cercanía geográfica y a condiciones estratégicas que favorecen el comercio de bienes. El gráfico 5 presenta el comportamiento del índice HHI de cada departamento en relación con Perú durante el periodo analizado.
Gráfico 5
IHH – Perú (2010 – 2024)
Nota: Datos tomados de Legicomex (2022)
Las líneas dibujadas en la anterior gráfica presentada evidencian el comportamiento del índice de concentración exportadora (HHI). Hacia Perú entre 2010 y 2022 para los departamentos analizados. Risaralda y Quindío destacan por presentar los niveles más altos de concentración, a diferencia de Valle del Cauca y Caldas, que mantienen una estructura exportadora más diversificada.
Profundizando en los resultados, el Valle del Cauca muestra un HHI consistentemente bajo, entre 0.010 y 0.019, reflejando una canasta amplia y equilibrada, con menor dependencia de productos o mercados específicos. Este patrón contrasta con el caso de Risaralda, que alcanza un pico de concentración en 2015 con un HHI de 0.804, indicando una fuerte dependencia de unos pocos productos; no obstante, en los años siguientes se evidencia una recuperación hacia la diversificación, impulsada por el fortalecimiento del sector industrial regional.
De manera complementaria, Caldas presenta un comportamiento de concentración moderado, con un HHI que oscila entre 0.033 y 0.210, respaldado por la exportación de bienes industriales y manufacturados de mayor valor agregado. En cambio, el Quindío refleja una estructura mucho más volátil, registrando picos de alta concentración en 2015, 2017 y 2019, asociados a su alta dependencia del sector agrícola, especialmente del café y sus derivados. La inestabilidad de precios internacionales afecta directamente la dinámica exportadora (Saenz et al., 2021; Silveira et al., 2017; Worako et al., 2011).
Ampliando el análisis a otros mercados de la Comunidad Andina, se observa que Bolivia representa el destino de menor interacción comercial para los departamentos estudiados. La menor actividad se explica principalmente por la lejanía geográfica (Bosker & Garretsen, 2012; Capoani, 2023; Gómez-Herrera, 2012) y las diferencias en las dinámicas de mercado frente a países como Ecuador y Perú. En este sentido, el gráfico 6 ilustra el comportamiento del HHI hacia Bolivia, permitiendo comparar su baja diversificación con los patrones exportadores observados en los demás socios comerciales de la región.
Gráfico 6
IHH – Bolivia (2010 – 2022)

Nota: Datos tomados de Legicomex (2022)
El análisis del HHI en la gráfica anterior revela una situación particular para el departamento del Quindío, donde fue necesario ajustar los datos debido a su nula participación en las exportaciones hacia Bolivia entre 2011 y los períodos de 2014 a 2021. En esos años, se asignó un índice de 1. Esto refleja la alta concentración derivada de su ausencia en el comercio exterior con este país, lo que pone en evidencia su vulnerabilidad comercial (Mania & Rieber, 2019; Vianna, 2016), una condición que también se replica en su relación con otros socios de la Comunidad Andina.
En un comportamiento similar, Risaralda muestra señales de limitada diversificación, alcanzando un HHI de 0.926 en 2015 y manteniendo niveles elevados en los años posteriores. Esto indica que una alta dependencia de pocos productos y esfuerzos insuficientes son una limitante para abrir nuevos nichos de mercado externo (Zarach & Parteka, 2023).
En contraste, el Valle del Cauca y Caldas presentan un balance más positivo, con índices entre 0.009 y 0.654, y entre 0.136 y 0.299, respectivamente, lo que sugiere una canasta exportadora más diversificada hacia Bolivia. La fortaleza industrial (He et al., 2022), agroindustrial (Pacheco et al., 2018) y el acceso a mejor infraestructura comercial (Ur Rehman et al., 2021) sirven para consolidar la diversificación de exportaciones, como es el caso del Valle del Cauca. Mientras que Caldas mantiene estabilidad apoyándose en el impulso de productos manufacturados como parte de su estrategia exportadora.
En conjunto, el comportamiento del HHI hacia Bolivia revela una estructura exportadora menos diversificada y más volátil en comparación con lo observado frente a mercados como Ecuador y Perú, destacando la necesidad de fortalecer estrategias de apertura y diversificación comercial hacia este socio andino.
Finalmente, la diversificación de productos exportables es de gran relevancia para reducir riesgos asociados a la dependencia de mercados o nichos específicos, trazando el objetivo de obtener niveles más altos de competitividad entre regiones para el largo plazo, donde la estructura comercial, la infraestructura, la capacidad instalada de producción y la industria especializada impulsan la dinámica comercial y la demanda de bienes y servicios de alto valor agregado. De tal modo, se resalta entonces la relevancia de continuar utilizando herramientas de análisis como el HHI para evaluar la sostenibilidad de los mercados internacionales, fundamentando así una base técnica para la formulación de políticas que promuevan las capacidades exportadoras de las diferentes regiones estudiadas.
5. Conclusiones
La evidencia empírica demostró que la aplicación del índice de Herfindahl-Hirschman (HHI) permite una comprensión técnica y fundamentada de las dinámicas comerciales regionales, identificando niveles de concentración y diversificación en las exportaciones. Adicionalmente, se observó que los departamentos con una canasta exportadora diversificada, como el Valle del Cauca y Caldas, demuestran mayor estabilidad económica y capacidad de adaptación frente a cambios en los mercados internacionales.
En contraste, regiones como Risaralda y Quindío enfrentan desafíos significativos debido a la alta concentración de sus exportaciones en productos de bajo valor agregado o dependientes de precios internacionales, resaltando que las diferencias estructurales entre los departamentos evidencian la necesidad de implementar políticas públicas que fomenten la diversificación productiva y promuevan la competitividad empresarial.
Por otro lado, la inversión en tecnologías avanzadas y la promoción de cadenas de valor son estrategias esenciales para fortalecer las economías menos diversificadas y reducir su vulnerabilidad frente a fluctuaciones del mercado, por lo que se evidenció que la continuidad en el uso de herramientas como el HHI es clave para evaluar y guiar el desarrollo sostenible de las exportaciones regionales, estableciendo una base técnica para la formulación de políticas comerciales efectivas.
Finalmente, los resultados de la investigación revelaron la importancia de adoptar una visión integral en el análisis de las dinámicas comerciales regionales, enfatizando cómo la diversificación productiva puede ser un factor clave para el crecimiento económico sostenible, debido a que este enfoque permite mitigar los riesgos asociados a la concentración en sectores específicos y potenciar la capacidad de los departamentos para integrarse en cadenas de valor globales, aprovechando las oportunidades que ofrecen los mercados internacionales. Sumado a ello, se destaca la necesidad de fortalecer las infraestructuras y las capacidades productivas locales como pilares para aumentar la competitividad regional, promoviendo la generación de empleo, el desarrollo tecnológico y la fabricación de bienes de mayor valor agregado. En este sentido, los hallazgos también sugieren que las políticas públicas y las estrategias empresariales deben estar alineadas con los retos y oportunidades particulares de cada región, garantizando así un impacto positivo en la sostenibilidad de sus exportaciones.
Referencias
Asociación Nacional de Empresarios de Colombia- ANDI (2023). Informe de gestión 2022–2023. https://es.scribd.com/document/703432647/Informe-ANDI-22-23
Baldwin, R. (2016). The great convergence: Information technology and the new globalization. The Belknap Press of Harvard University Press.
Banco Mundial. (2024). Memorando económico de país: Colombia 2024 (Report No. 191845). https://documents1.worldbank.org/curated/en/099042525165519971/pdf/P177730-ca16ae09-fb9a-4cff-9f7a-b88f1347d370.pdf
Bosker, M., & Garretsen, H. (2012). Economic geography and economic development in Sub-Saharan Africa. The World Bank Economic Review, 26(3), 443–485. https://doi.org/10.1093/wber/lhs001
Cámara de Comercio de Cali. (2023). Ritmo empresarial. https://www.ccc.org.co/category/informes-economicos/ritmo-empresarial/
Capoani, L. (2023). Review of the gravity model: Origins and critical analysis of its theoretical development. SN Business & Economics, 3, 1–43. https://doi.org/10.1007/s43546-023-00461-0
Comisión Económica para América Latina y el Caribe- CEPAL (2022). Estudio económico de América Latina y el Caribe 2022: La dinámica y los desafíos de la inversión para relanzar el crecimiento y el desarrollo sostenible (LC/PUB.2022/9-P). https://www.cepal.org/es/publicaciones/48077-estudio-economico-america-latina-caribe-2022-dinamica-desafios-la-inversion
Departamento Administrativo Nacional de Estadística- DANE (2023). Boletín técnico de exportaciones – diciembre de 2023. https://www.dane.gov.co/files/operaciones/EXPORTACIONES/bol-EXPORTACIONES-dic2023.pdf
Fondo Monetario Internacional-FMI (2019). Perspectivas de la economía mundial. https://www.gob.mx/shcp%7Cgacetaeconomica/documentos/actualizacion-de-perspectivas-de-la-economia-mundial-enero-de-2019-fmi#:~:text=Prev%C3%A9%20que%20la%20econom%C3%ADa%20mundial,mercados%20financieros%20a%20nivel%20internacional.
García, H. D., Montes, J. C., Márquez, H. Y., Rodríguez, A. R., Corrales, C. D., Apaza, S. J., Suysuy, E. J., León, S. L., & Flores, M. M. (2025). Market diversification and international competitiveness of South American coffee: A comparative analysis for export sustainability. Sustainability, 17(11), 5091. https://doi.org/10.3390/su17115091
Gómez, C. M., Loaiza, P. A., & Flórez, A. M. (2023). Dinámicas y oportunidades del comercio internacional andino. Corporación Universitaria de Estudios Superiores de Valle. https://repositorio.uceva.edu.co/bitstream/handle/20.500.12993/4685/Libro-CAN.pdf?sequence=2
Gómez-Herrera, E. (2012). Comparing alternative methods to estimate gravity models of bilateral trade. Empirical Economics, 44, 1087–1111. https://doi.org/10.1007/s00181-012-0576-2
He, D., Miao, P., & Akhtar, N. (2022). Can industrial diversification help strengthen regional economic resilience? Frontiers in Enviromental Science, 10, 987396. https://doi.org/10.3389/fenvs.2022.987396
Heckscher, E., & Ohlin, B. (1933). Interregional and international trade. Harvard University Press.
Hernández, R., & Sampieri, R. (2014). Metodología de la investigación (6ª ed.). McGraw-Hill.
Herzer, D., & Nowak-Lehnmann, D. F. (2006). What does export diversification do for growth? An econometric analysis. Applied Economics, 38(15), 1825–1838. https://doi.org/10.1080/00036840500426983
Krugman, P. (1980). Scale economies, product differentiation, and the pattern of trade. The American Economic Review, 70(5), 950–959.
Krugman, P. R., Obstfeld, M., & Melitz, M. J. (2012). Economía internacional: Teoría y política (9ª ed.). Pearson.
Legicomex. (2022). Estadísticas de comercio exterior. https://www.legiscomex.com/informacion-estadisticas-de-comercio-exterior
Mania, E., & Rieber, A. (2019). Product export diversification and sustainable economic growth in developing countries. Structural Change and Economic Dynamics, 51, 138–151. https://doi.org/10.1016/j.strueco.2019.08.006
Markakkaran, S., & Sridharan, P. (2022). Impact of export diversification on economic growth: A system GMM approach. International Journal of Development, 21(2), 309–320. https://doi.org/10.1108/IJDI-10-2021-0210
Masunda, S. (2020). Export diversification effects of aid for trade in sub-Saharan Africa. Journal of African Trade, 7(1-2), 29–36. https://doi.org/10.2991/jat.k.201203.001
Mill, J. S. (1848). Principles of political economy. John W. Parker.
Ministerio de Comercio, Industria y Turismo (MinCIT). (2023). Informe de gestión del sector Comercio, Industria y Turismo 2022–2023. https://sedeelectronica.sic.gov.co/sites/default/files/planeacion/Informe%20de%20Gesti%C3%B3n%20del%20Sector%20Comercio%20Industria%20Turismo%202023.pdf
Organización de las Naciones Unidas para la Alimentación y la Agricultura- FAO (2022). El estado de los mercados de productos básicos agrícolas 2022 (LC/PUB.2022/138-P). https://openknowledge.fao.org/server/api/core/bitstreams/1e587f56-4c73-4915-ab5b-ae67a71210f2/content
Pacheco, J., Ochoa-Moreno, W.-S., Ordoñez, J., & Izquierdo-Montoya, L. (2018). Agricultural diversification and economic growth in Ecuador. Sustainability, 10(7), 2257. https://doi.org/10.3390/su10072257
Prada, E., & García, G. (2016). Concentración o diversificación exportadora por destinos: Un análisis a través del índice Herfindahl Hirschmann en Santander, Colombia. Saber, Ciencia y Libertad, 11(2), 119–128. https://revistas.unilibre.edu.co/index.php/saber/article/download/544/425
PROCOLOMBIA. (2023). Informe de gestión 2023 (LC/PUB.2023/85-P). https://procolombia.co/system/files/202405/informe_gestion_procolombia_2023_.pdf
Ricardo, D. (1817). On the principles of political economy and taxation. John Murray.
Saenz, M., Alvarez, D., & Brock, G. (2017). Lessons from long-run (1975–2017) structural change in Colombia’s coffee production. Agricultural and Resource Economics Review, 50(1), 201–225. https://doi.org/10.1017/age.2021.1
Secretaría General de la Comunidad Andina. (2024). Estadísticas de comercio exterior de bienes 2023 (SGDE1003). https://www.comunidadandina.org/DocOficialesFiles/DEstadisticos/SGDE1003.pdf
Servicio Nacional de Aduana del Ecuador. (s.f.). Comunidad Andina – Secretaría General. Reseña Histórica. https://www.aduana.gob.ec/comunidad-andina-can/
Silveira, R. L. F. da, Mattos, F. L., & Saes, M. S. M. (2017). The reaction of coffee futures price volatility to crop reports. Emerging Markets Finance and Trade, 53(10), 2361–2376. https://doi.org/10.1080/1540496X.2016.1205976
Suwinto, J., & Ivy, V. (2022). The application of Herfindahl-Hirschman index in measuring the concentration level of financial technology industry. In Proceedings of the Tenth International Conference on Entrepreneurship and Business Management 2021 (ICEBM 2021) (pp. 53–58). Atlantis Press. https://doi.org/10.2991/aebmr.k.220501.002
Ur Rehman, F., Ahmad, E., Khan, M. A., Popp, J., & Oláh, J. (2021). Does trade related sectoral infrastructure make Chinese exports more sophisticated and diversified? Sustainability, 13(10), 5408. https://doi.org/10.3390/su13105408
Vázquez, R., & Morales, R. A. (2017). Diversificación de las exportaciones y competitividad externa en la industria: Hacia la construcción de una tipología para el caso de países de ingresos medios. Cuadernos de Economía, 40(114), 208–222. https://doi.org/10.1016/j.cesjef.2016.09.002
Vianna, A. C. (2016). The impact of exports to China on Latin American growth. Journal of Asian Economics, 47, 58–66. https://doi.org/10.1016/j.asieco.2016.10.002
Worako, T. K., Jordaan, H., & van Schalkwyk, H. D. (2011). Investigating volatility in coffee prices along the Ethiopian coffee value chain. Agrekon, 50(3), 90–108. https://doi.org/10.1080/03031853.2011.617865
Zarach, Z. H., & Parteka, A. (2023). Export diversification and dependence on natural resources. Economic Modelling, 126, 106436. https://doi.org/10.1016/j.econmod.2023.106436